
電子皂膜流量計廣泛應用于玻璃轉子、小孔口流量計等工作計量器具的檢定和校準工作。在流量計算時,有的電子皂膜流量計生產廠家考慮了水的飽和蒸汽壓,有的沒有考慮水的飽和蒸汽壓,并且存在水的飽和蒸汽壓與溫度的數據擬合方法不統一,帶來的水的飽和蒸汽壓計算結果與實際數據的誤差的問題。文章針對此現狀,分析考慮和未考慮水的飽和蒸汽壓對流量計算及檢定示值誤差的影響,并以檢定玻璃轉子的實際案例,分析水的飽和蒸汽壓對檢定示值誤差的影響,并建議電子皂膜流量計以文中數據擬合方法計算水的飽和蒸汽壓。
引言
20世紀80~90年代以來,半導體制造業、精細化工、納米技術,生物醫藥等領域的迅速崛起,使得氣體流量計量朝著小、微方向發展,小流量、微小流量的需求日益凸顯[1]。
目前,用于微小流量計量的計量器具主要有皂膜流量計、活塞流量計(根據密封方式不同,可分為石墨式活塞流量計、水銀密封式活塞流量計)等。而皂膜流量計成本低,使用便捷,在工業生產、理化分析和科學實驗等各個領域有著廣泛的應用[2]。
傳統的皂膜流量計主要受皂膜管上下刻度線讀數示值誤差、大氣壓P和環境溫度讀數誤差、測量時間誤差的影響[3]。隨著電子工業和傳感器技術的發展,電子皂膜流量計采用高精度的溫度和壓力測量電子元器件,并運用紅外傳感器和單片機晶振,能夠實現溫度、壓力、時間參數的高精度自動采集,克服了傳統皂膜流量計示值誤差影響因素。在工作計量器具或檢定裝置中,已基本全面取代傳統皂膜流量計。隨著電子皂膜流量計的發展,計量范圍也可達到1mL/min~30L/min。本文首先介紹電子皂膜流量計工作,其次推導電子皂膜流量計流量計算公式,再次分析考慮水的飽和蒸汽壓和未考慮水的飽和蒸汽壓對檢定示值誤差的影響,***后給出解決問題的方法和建議。
電子皂膜流量計主要由單片機、紅外傳感器、前置電路、驅動電路、按鍵、顯示器、電源等部分組成。它可實現參數自動采集,數據自動處理,直接顯示實際流量,標準狀態流量和參比狀態流量。其硬件原理和電子皂膜管結構圖如圖1和圖2所示。

圖1 電子皂膜流量計硬件原理圖 下載原圖

圖2 電子皂膜管結構圖 下載原圖
1—發泡球;2—皂膜管;3—上游狹縫;4—發光管;5—皂液;6—進氣口;7—接收管;8—金屬外殼;9—下游狹縫;10—出氣口。
當皂膜通過上游狹縫3時, 發光管發出的光束強度的變化, 使接收管7改變導通狀態, 單片機開始計時t1, 當皂膜通過下游狹縫時, 下游接收管改變導通狀態, 單片機計時t2, 皂膜在時間 (t2-t1) 內通過皂膜管標定體積VN。根據生產廠家的不同, 單片機可根據現場輸入的現場溫度、大氣壓力或是通過壓力和溫度傳感器自動采集的現場溫度、大氣壓力, 自動查詢與現場溫度相對應的飽和蒸汽壓力, 經單片機計算, 可顯示實際流量, 標準狀態流量和參比狀態流量。而部分電子皂膜流量計使用于恒溫實驗室, 沒有進行飽和蒸氣壓的修正。
干氣體通過盛有皂膜液膠球后, 經內壁有液層的皂膜管時, 變成飽和濕氣體。皂膜管內的總壓力為大氣壓, 則干氣體分壓力為:

式中:P為皂膜管處干氣體的壓力;Pa為大氣壓力;Psa為檢定時氣體溫度θ下飽和蒸汽壓。
檢定溫度θ下, 皂膜管的容積為:

式中:Vθ為皂膜管在溫度θ下的容積;VN為皂膜管在標準狀態下的容積;α為皂膜管的線膨脹系數, 對于硼硅玻璃, 3α=1.6×10 (℃) ;θ為檢定時皂膜管的壁溫。
將此體積按狀態方程換算到參比狀態下的體積, 則有:

式中:V為標準大氣壓下的體積;P為干氣體分壓力, Pa;Tθ為現場溫度, K;PS為參比狀態下大氣壓力, Pa;TS為參比狀態下溫度, K。

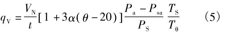
由式 (1) ~式 (4) 可得參比狀態下瞬時流量:

由于檢定時處于實驗室狀態, 室溫接近20℃, 故忽略溫度對皂膜管容積值影響, 式 (5) 可以簡化為:

常用參比溫度為273.15、293.15、298.15 K, 當參比溫度為293.15 K時:

式中:T293.15為參比狀態下的溫度 (273 K+20℃, 即293 K) ;PS為標準態下的大氣壓 (101.325 k Pa) ;Pa為現場大氣壓, Pa;Psa為與現場溫度相對應的水的飽和蒸氣壓, Pa;Tθ為現場溫度, K。
其他參比溫度下的瞬時流量可據式 (7) 進行類推。在檢定工作中發現, 一些電子皂膜流量計的生產廠家, 只針對參比狀態下的濕氣體進行了氣體狀態轉化, 即以現場大氣壓進行溫度壓力修正, 忽略了現場溫度下的飽和蒸汽壓。在非恒溫實驗室條件下使用電子皂膜流量計時, 飽和蒸汽壓帶來的影響是不可忽略的。
本文以實驗室下校準體積為20 m L, 測量范圍10~1 200 m L/min的電子皂膜流量計為例, 計算水的飽和蒸氣壓帶來的瞬時流量誤差。水的飽和蒸汽壓表如表1所示。
表1 水的飽和蒸汽壓和溫度對照表 下載原表

實驗室條件下, 設現場溫度為20℃。
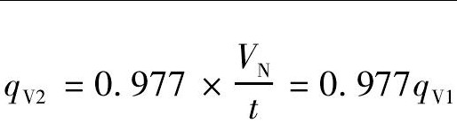
則不考慮飽和蒸汽壓時:

考慮飽和蒸汽壓時:

我們地處中原, 實驗室大氣壓力接近于標準大氣壓, 即Pa=PS=101.325 k Pa, Tθ= (273.15+20) K=TS, 由表1可得Psa=2.338 8 k Pa, 帶入式 (9) 可得,
。一臺轉子, 其測量范圍為0.1~1 L/min, 刻度狀態為20℃, 101.325 k Pa, 使用介質為空氣。在檢定過程中使用未考慮飽和蒸汽壓補償的電子皂膜流量計作為標準器的檢定數據如表2所示。
表2 不考慮額飽和蒸汽壓補償的檢定數據 下載原表

依據檢定數據表2, 不考慮飽和蒸汽壓和考慮飽和蒸氣壓瞬時流量換算關系, 可得考慮飽和蒸汽壓的檢定數據, 如表3所示。
表3 考慮飽和蒸汽壓補償的檢定數據 下載原表

未考慮水的飽和蒸氣壓和考慮水的飽和蒸氣壓的示值誤差對比曲線如圖3所示。

圖3 誤差對比曲線 下載原圖
由圖3可知, 兩種示值誤差曲線存在一定的偏移, 即飽和蒸氣壓修正引入的系統誤差。
在使用時如果氣源為干氣體, 被檢流量計使用介質為干氣體時, 電子皂膜流量計必須考慮水的飽和蒸氣壓帶來的影響。電子皂膜流量計中飽和蒸氣壓是由單片機線性插值或數據擬合而來, 通過簡單的線性擬合計算出來的蒸汽壓與實際數據誤差較大, 本文建議采用Pb=6.0×10e, 其中

,Pb為飽和蒸汽壓,T為溫度。在0~200℃范圍內,由此數據擬合的數據與實際數據***大誤差為0.8‰[4]。建議在起草新的皂膜流量計檢定規程時,將擬合方法放入附錄,供廠家參考。